El expresidente Donald Trump ha aceptado una fianza de 200.000 dólares en el caso que lo acusa de conspirar para anular su derrota electoral en las elecciones de 2020 en Georgia.
El exmandatario tiene hasta el viernes al mediodía para entregarse en la cárcel del condado de Fulton, según un documento judicial publicado el lunes.
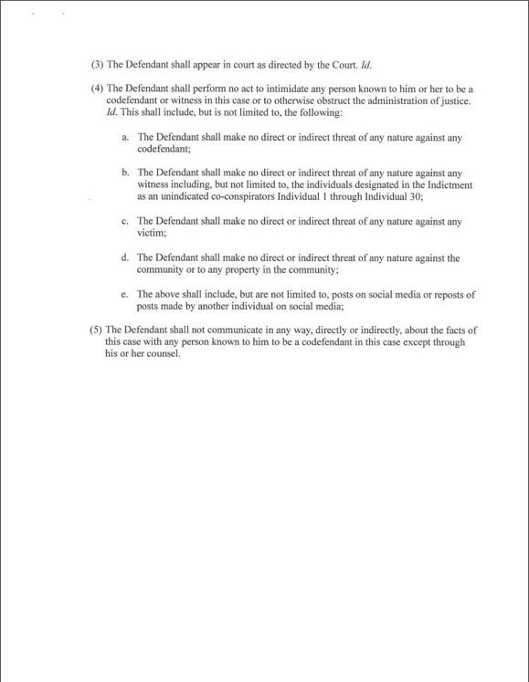
La fiscal del condado de Fulton, Fani Willis, presentó 13 cargos criminales, incluyendo asociación ilícita, conspiración criminal y presentación de documentos falsos, contra Trump y otros 18 coacusados.
Es el segundo conjunto de cargos relacionados con la interferencia electoral que enfrenta Trump, quien ha sido acusado en cuatro casos criminales este año.
La fiscalía sostiene que Trump y sus aliados intentaron revertir ilegalmente la victoria legítima del presidente Joe Biden en Georgia como parte de un esfuerzo más amplio para cambiar el resultado nacional de las elecciones.
Entre las pruebas se incluye una llamada telefónica que Trump hizo al secretario de Estado de Georgia, Brad Raffensperger, en la que le pidió que “encontrara” los votos suficientes para darle la victoria.
Te puede interesar: Trump no participará en debates presidenciales del Partido Republicano
Una fianza desigual


El juez del Tribunal Superior del condado de Fulton, Scott McAfee, fijó la fianza de Trump por el cargo de asociación ilícita en 80 mil dólares, mientras que los otros 12 cargos recibieron cada uno montos de fianza de 10 mil dólares, según el documento judicial.
Otros coacusados también recibieron sus órdenes de fianza el lunes. McAfee fijó una fianza de 100 mil dólares para John Eastman, el abogado pro-Trump que enfrenta nueve cargos en el caso de Georgia.
Kenneth Chesebro, otro abogado pro-Trump y coacusado, tuvo su fianza fijada en 100 mil dólares por un cargo de asociación ilícita y seis cargos de conspiración criminal. Ray Smith tuvo su fianza fijada en 50 mil dólares, mientras que el juez fijó una fianza de 10 mil dólares para Scott Hall.
Jueza de Georgia permite la terapia hormonal para menores transgénero mientras resuelven caso
¿Qué ha dicho trump al respecto?
Los abogados de Trump dijeron el lunes que habían “casi” finalizado los términos de la entrega del expresidente esta semana, según reporteros de NBC News presentes en Atlanta. Los letrados han calificado el caso como una persecución política y han pedido su desestimación.
Desde que lo acusaron el 10 de septiembre, Trump no ha realizado comentarios públicos sobre el caso. El expresidente ha negado cualquier irregularidad y ha mantenido, sin pruebas, que las elecciones fueron fraudulentas.